Some readers may ask – why the article on this subject is being published in an electrical journal and what it has to do with electrical design, installations, and inspections.
The answer is quite simple – a few readers raised questions on this subject in conjunction with the design and installation of fire alarm systems, whether:
- smoke dampers must be actuated by smoke detectors,
- these smoke detectors must be part of a building fire alarm system,
- use of duct-type smoke detectors is required by the National Building Code of Canada (NBC) – to actuate these smoke dampers, and
- position of these smoke dampers must be electrically supervised by a building fire alarm system.
It is interesting to note a similarity between the Canadian Electrical Code, Part I (CE Code) requirements for fire stops in a fire separation, or with requirements for seismic support of electrical equipment – and the subject at hand.
For example, Rule 2-128 of the CE Code states the following:
“2-128 Fire spread
1) Electrical installations shall be made so that the probability of spread of fire through fire-stopped partitions, floors, hollow spaces, firewalls or fire partitions, vertical shafts, or ventilating or air[1]conditioning ducts is reduced to a minimum.
2) Where a fire separation is pierced by a raceway or cable, any openings around the raceway or cable shall be properly closed or sealed in compliance with the National Building Code of Canada.”
Another example is Rule 2-134 of the CE Code, which mandates seismic restraint for electrical equipment as follows:
“2-134 Seismic restraint requirements for electrical equipment
Where electrical equipment is required to have seismic restraint by local legislative requirements, the electrical equipment shall be provided with seismic restraint in compliance with the National Building Code of Canada.”
These CE Code requirements represent a clear indication, that the CE Code users must collaborate with fire stops experts, who will apply fire stops – to seal openings in fire separation penetrated by a raceway or a cable, to ascertain compliance of the fire stops with provisions of the NBC, or should collaborate with structural engineers – seismic reinforcement experts, who will be responsible for compliance of the seismic support for electrical equipment with the National Building Code (NBC) requirements.
Of course, for the subject at hand, such collaboration would be necessary between mechanical engineers responsible for design of air handling systems and electrical engineers, responsible for design of electrical systems supporting operation of such air handling systems.
However, let’s find out what types of air handling systems may exist in a building:
- Make up air handling system, which sends outdoor air into a building for the purpose of ventilation.
- Exhaust air handling system, which conveys air from a room or space to the outdoors.
- Circulating/recirculating air handling system, which may serve more than one storey, more than one suite in a storey, or more than one fire compartment, and in which air may circulate between such storeys, suits, or fire compartments.
- Smoke venting system, which is intended to aid fire fighting in a high building in accordance with the NBC provisions.
- Smoke control system, which controls the migration of smoke from floor areas below the lowest exit storey into upper storeys in a high building in conformance with the NBC requirements.
Usually, such air handling systems utilize ducts for moving air through rooms or spaces of the building in accordance with the mechanical design conforming to the specific NBC provisions.
Article 3.1.8.7. of the NBC mandates that a smoke damper must be installed in ducts or air-transfer openings that penetrate an assembly required to be in a certain fire separation, and mechanical designers usually advise electrical consultants, where such dampers are required to be installed and whether these smoke dampers must be automatically actuated by smoke detectors.
Sentence 3.1.8.11.(3) of the NBC elaborates on this subject as follows:
“3.1.8.11.(3) Except as required by a smoke control system, smoke dampers and combination smoke/fire dampers shall be configured to close automatically upon a signal from an adjacent smoke detector located as described in CAN/ULC-S524, “Standard for Installation of Fire Alarm Systems,” within 1.5 m horizontally of the duct or air-transfer opening in the fire separation:
a) on both sides of the air-transfer opening, or
b) in the duct downstream of the smoke damper or combination smoke/fire damper. “
The above stated requirement of the NBC is very important for accuracy of the electrical design and electrical installations, as it provides the following information relevant to the subject of our discussion:
- Smoke control systems are exempt for such requirement, as operation of a smoke control system for each specific project considers unique conditions, which must be reflected in the design undertaken by mechanical consultants, where certain smoke dampers must open or close for a purpose of the intended operation of the smoke control system.
- This requirement does not specifically mandate that smoke detectors used for activation of smoke dampers, must be part of a building fire alarm system (these smoke detectors could be integral components of a smoke damper assembly, or could be installed in the field as independent devices).
- This requirement allows for an option to use a spot type smoke detector or a duct type smoke detector by an electrical designer, thus providing a better flexibility in the electrical design.
However, when such a smoke damper functions as a “closure”, conditions of Article 3.1.8.14. of the NBC would have to be met.
Before we’ll discuss these conditions, let’s find out what “closure” means in accordance with the NBC.
NBC offers the following definition of “closure”:
“Closure means a device or assembly for closing an opening through a fire separation or an exterior wall, such as a door, a shutter, a damper, wired glass or glass block, and includes all components such as hardware, closing devices, frames and anchors “
It means when a smoke or a fire damper, a fire shutter, or a door installed in a fire separation, is being held open under normal condition by a hold open device and is being closed under fire or smoke condition, such a door, damper or shutter represents a closure for the purpose of the NBC.
Considering this information, now is the appropriate time – to review requirements of Article 3.1.8.14. of the NBC.

“3.1.8.14. Hold-Open Devices
1) Except as provided in Sentences 3.1.8.10.(2) and 3.1.8.11.(3), a hold-open device is permitted to be used on a closure in a required fire separation, other than on an exit stair door in a building more than 3 storeys in building height and on a door for a vestibule required by Article 3.3.5.7., provided the device is designed to release the closure in conformance with this Article.
2) Except as provided in Sentences (5) and (6), where the building is provided with a fire alarm system, a hold-open device permitted by Sentence (1) shall release
a) in a single-stage system, upon any signal from the fire alarm system, and
b) in a 2-stage system,
i) upon any alert signal from the fire alarm system, or
ii) upon actuation of any adjacent smoke detectors.
3) Where the building is provided with a fire alarm system, a hold-open device permitted by Sentence (1) shall release upon a signal from a smoke detector connected to the fire alarm system and located as described in CAN/ULC-S524, “Standard for Installation of Fire Alarm Systems,” where the hold-open device is used on
a) an exit door,
b) a door opening into a public corridor,
c) an egress door referred to in Sentence 3.4.2.4.(2),
d) a closure serving an assembly, care, treatment, detention, or residential occupancy,
e) a door in a fire separation referred to in Clause 3.3.1.7.(1)(b) or Sentence 3.3.3.5.(4), or
f) a door required to function as part of a smoke control system.
4) Where the building is not provided with a fire alarm system, a hold-open device permitted by Sentence (1) shall release upon a signal from a smoke alarm located on each side of the fire separation at ceiling level within 1.5 m horizontally of the closure opening in the fire separation, where the hold-open device is used on closures described in Clauses (3)(a) to (e).
5) Where a hold-open device is used on closures other than those described in Sentences (3) and (4), it is permitted to be released upon actuation of a heat-actuated device.
6) A hold-open device used on a door located between a corridor used by the public and an adjacent sleeping room in a treatment occupancy need not release automatically as stated in Sentence (2).”
Let’s dissect the provisions of this NBC Article:
- Sentence (1) of this Article allows (but not mandates) a hold-open device to be used on a closure in a required fire separation.
- Sentence (2) states that such hold-open device must release (to initiate a closing operation of the closure) upon actuation of any signal from:
- the building fire alarm system (upon actuation of alarm signal in a single-stage fire alarm system or upon actuation of an alert signal in a 2-stage fire alarm system), or
- the smoke detectors located adjacent to the closure (to a damper, shutter or a door being held open)
- Sentence (3) of this Article goes further, by stating that the adjacent smoke detector also must become a part of the building fire alarm system and be located as prescribed by the standard ULC-S524, “Standard for Installation of Fire Alarm Systems”, if the hold open device is used on a door referred to in paragraphs (3)(a), (3)(b),(3)(c),(3)(e), or (3)(f) above.
Paragraph 3.1.8.14.(3)(d) also emphasizes that such a hold-open device must also released when it is used on a “closure” (e.g., on a door, shutter, or damper) if such a closure serves an assembly, care, treatment, detention, or residential occupancy.
It means that when a smoke damper in our discussion functions as a closure, and this smoke damper is used in a building intended for business and personal services occupancy (in office building), in a building of industrial occupancy, in a building of agricultural occupancy, or in a building containing mercantile (retail store, or grocery store) occupancy, then the smoke detector which initiates closing of the smoke damper, does not have to be connected to a fire alarm system, but it could be a stand-alone device or a device integral to the smoke damper, as described by Sentence 3.1.8.11. of the NBC (see above).

Otherwise, such smoke detectors must operate as components of the building fire alarm system in accordance with Sentence 3.1.8.14.(3), shown above.
- Sentence (4) clarifies operation of a hold-open device, when a building is not provided with a fire alarm system.
- Sentence (5) explains that when a closure is in buildings other than those that are described in Sentences (3) and (4), hold-open devices used on such closures are permitted to be released upon activation of a heat-actuated device (fusible link).
- Sentence (6) does not relate to operation of dampers (it applies to a hold-open device used on a door located between a corridor used by the public and an adjacent sleeping room in a typical hospital), and further clarification of this Sentence is outside the scope of our discussion.
Now is the perfect time to review when the NBC mandates the installation of a duct-type smoke detector, in addition to offering an option of its use for closing a smoke damper described in Article 3.1.8.11. above.
Such mandatory requirement exists in the NBC in conjunction with the operation of a circulating/recirculating air handling system.
Article 3.2.4.12. of the NBC requires the following:
“3.2.4.12. Prevention of Smoke Circulation
1) If a fire alarm system is installed, an air-handling system shall be designed to prevent the circulation of smoke upon a signal from a duct-type smoke detector if the air-handling system
a) serves more than one storey,
b) serves more than one suite in a storey, or
c) serves more than one fire compartment required by Sentence 3.3.3.5.(2).”
It means that if the air is recirculated between different storeys, between different suites in a storey, or between different fire compartments in care, treatment or detention occupancies, prevention of smoke circulation must be provided by actuation of a duct type smoke detector, which must be a part of a building fire alarm system, and which will initiate:
- closure of the dampers in the circulating system,
- activation of alarm or alert signal of the building fire alarm system, and
- shut off the air moving fan in the air handling system.
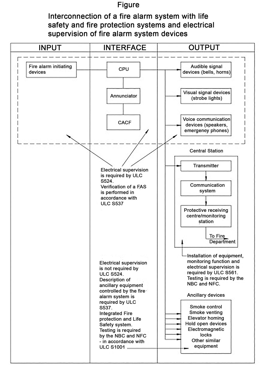
Location of such duct-type smoke detector must comply with provisions of ULC standard S524 (see figure 1).
Now, we can evaluate whether a position of a smoke damper, discussed in this article, must be electrically supervised by a building fire alarm system.
For the purpose of standard ULC S524, a typical smoke damper represents an ancillary device of a fire alarm system, similarly to the equipment of a smoke control, smoke venting system, hold-open devices, electromagnetic locks, etc. (See figure below):
ULC S524 defines an ancillary device as follows:
“ANCILLARY DEVICE – A device which has a life-safety application, is connected to the fire alarm system, but is not part of the fire alarm system “
Clause 6 of ULC S524 mandates electrical supervision of the circuits supplying the following components of the fire alarm system:
“6 Electrical Supervision
6.1 General
6.1.1 Electrical supervision of the circuit / pathway shall be provided for the following:
a) Manual stations.
b) Fire detectors.
c) Water flow devices.
d) National Building Code of Canada required supervisory devices for water-based fire protection systems.
e) Audible signal devices.
f) Visible signal devices.
g) Voice communication equipment.
h) Emergency telephone handsets.
i) Main power supplies and emergency power supplies.
j) Power supplied to field devices.
k) Annunciators.
l) Display and control centres.
m) Common fault indication from the engine-driven generator, as required by Clause 5.5; and
n) Common fault indication from the UPS, as required by 5.5.2.“
As ancillary devices, indicated in the figure above, are not part of a fire alarm system but are only actuated by a fire alarm system, these devices are not subjected to electrical supervision and are not subjected to a verification of a fire alarm system in accordance with ULC standard S537.
Operation of these ancillary devices must be subjected to provisions of Article 3.2.9.1. of the NBC for testing of integrated fire protection and life safety systems. (see Figure above).
Appendix A Note on Article 3.2.9.1. of the NBC provides the following clarification:
“A-3.2.9.1.(1) Testing of Fire Protection and Life Safety Systems.
Building owners should verify that fire protection and life safety systems and their components (i.e. fire alarm systems, sprinklers, standpipes, smoke control, ventilation, pressurization, door hold-open devices, elevator recalls, smoke and fire shutters and dampers, emergency power, emergency lighting, fire pumps, generators, etc.), including their interconnections with other building systems, are functioning according to the intent of their design.
CAN/ULC-S1001, “Standard for Integrated Systems Testing of Fire Protection and Life Safety Systems,” provides the methodology for verifying and documenting that interconnections between building systems satisfy the intent of their design and that the systems function as intended by the Code.
Clause 6.1.5 of CAN/ULC-S1001 allows the Integrated Testing Coordinator to accept documented evidence of any tests that have been performed on a system as part of its acceptance testing for the purpose of demonstrating compliance with the integrated testing requirements of that standard, so as to avoid duplication of work “
Hopefully, this article provided answers to the questions expressed in the bullets (a) to (d), indicated at the outset whether:
- smoke dampers must be actuated by smoke detectors,
- these smoke detectors must be part of a building fire alarm system,
- use of duct type smoke detectors is required by the National Building Code of Canada (NBC), and
- position of these smoke dampers must be electrically supervised by a building fire alarm system.
As usual, a respective local AJH with the authority for the acceptance of relevant provisions of the legally adopted NBC should always be consulted regarding each design and installation project.









Find Us on Socials